No hay entradas.
No hay entradas.

Sistema de Ecuaciones con dos Incógnitas

Un sistema de ecuaciones es un conjunto de dos o más ecuaciones con varias incógnitas en la que deseamos encontrar una solución común. En esta ocasión vamos a resolver un sistema de dos ecuaciones lineales con dos incógnitas. Una ecuación lineal con dos incógnitas es una igualdad del tipo ax+by=c, donde a, b, y c son números, y «x» e «y» son las incógnitas. Una solución es todo par de números que cumple la ecuación. Compatible determinado: Tiene una única solución, la representación son dos rectas que se cortan en un punto. Compatible indeterminado: Tiene infinitas soluciones, la representación son dos rectas que coinciden. Incompatible: No tiene solución, la representación son dos rectas paralelas. Existen diferentes métodos de resolución:

Sistema de ecuaciones : medidas de sustitución

A través del método de sustitución lo que debemos hacer es despejar una de las incógnitas en una de las ecuaciones y sustituir su valor en la siguiente. Lo veremos con más detalle en el siguiente ejemplo:

Lo primero que hacemos es despejamos una de las incógnitas en la primera ecuación. x+y=7 x= 7-y

Posteriormente, sustituimos en la segunda ecuación el valor correspondiente de la «x».

Ahora, despejamos la «y».

Por último, utilizamos el valor de «y» para hallar el valor de «x».

Sistema de ecuaciones : método de reducción

Con el método de reducción lo que hacemos es combinar, sumando o restando, nuestras ecuaciones para que desaparezca una de nuestras incógnitas. Los pasos a seguir son los siguientes:

En primer lugar, necesitamos preparar las dos ecuaciones, si es necesario, multiplicándolas por los números que convenga. En este caso, queremos reducir la «y» de nuestro sistema, por tanto, multiplicamos la primera ecuación por 2.

Así, el sistema se queda:

Si nos fijamos, sumando las ecuaciones la y nos desaparece.

Y nos quedaría:

Por último, sustituimos el valor que hemos calculado despejando la otra incógnita en una de las ecuaciones iniciales.

Sistema de ecuaciones : método de igualación

El método de igualación consiste en despejar la misma incógnita en las dos ecuaciones y después igualar los resultados. Los pasos a seguir son los siguientes:

En primer lugar, elegimos la incógnita que deseamos despejar. En este caso, empezaré por la «x» y despejo la misma en ambas ecuaciones.

Una vez hemos despejado, igualamos:

Por último, sustituimos el valor que hemos calculado despejando la otra incógnita en una de las ecuaciones iniciales.

Sistema de ecuaciones de tres incógnitas

El método de Gauss consiste en utilizar el método de reducción de manera que en cada ecuación tengamos una incógnita menos que en la ecuación precedente. Tomando el sistema siguiento, lo vamos a resolver paso por paso usando el método de Gauss
Ponemos como primera ecuación la que tenga como coeficiente de x: 1 ó -1, en caso de que no fuera posible lo haremos con y o z, cambiando el orden de las incógnitas.

Hacemos reducción con la 1^{a} y 2^{a} ecuación, para eliminar el término en x de la 2^{a} ecuación. Después ponemos como segunda ecuación el resultado de la operación:

Hacemos lo mismo con la ecuación 1^{a} y 3^{a} ecuación, para eliminar el término en x.

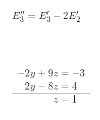
Tomamos las ecuaciones 2^{a} y 3^{a}, trasformadas, para hacer reducción y eliminar el término en y.

Obtenemos el sistema equivalente escalonado.

Encontramos las soluciones.

¿Qué son los intervalos?

Un intervalo es un conjunto de números reales que se encuentra comprendido entre dos extremos, a y b. También puede llamarse subconjunto de la recta real. Por ejemplo, los números que satisfagan una condición 1 ≤ x ≤ 5 ó [1;5] implican un intervalo que va desde el 1 hasta el 5, incluyendo a ambos. Si se toma en cuenta la aplicación del intervalo para observar el comportamiento de una variable, se toma una serie de tiempo y se escoge un intervalo.

Clasificación de los intervalos

Existen 4 tipos de intervalos matemáticos, estos son: abierto, cerrado, semiabierto e infinito. Intervalo abierto Un intervalo abierto es aquel que no incluye los extremos entre los cuales está comprendido, pero sí todos los valores ubicados entre estos. Se representa mediante una expresión del tipo a < x < b ó (a;b). Por ejemplo, si tenemos el intervalo abierto (1;5), tendremos el conjunto de números mayores a 1 y menores que 5. Sin incluir el 1 y el 5.

Intervalo cerrado

Un intervalo cerrado es aquel que incluye los extremos del intervalo y todos los valores comprendidos entre estos. Se representa con una expresión del tipo a ≤ x ≤ b ó [a;b]. Por ejemplo, si tenemos el intervalo cerrado [1;5], tendremos el conjunto de números mayores o iguales a 1 y menores o iguales a 5. Incluyendo el 1 y el 5.

Intervalo semiabierto

Un intervalo semiabierto es aquel que incluye tan solo uno de los extremos de los valores que están entre ellos, de modo que el otro extremo queda excluido. Pueden estar incluidos o excluidos tanto el extremo derecho como el izquierdo. Se representa con una expresión del tipo a ≤ x < b ó a < x ≤ b, lo que sería [a;b) ó (a;b]. Por ejemplo, si tenemos el intervalo semiabierto [1;5), tendremos un conjunto de números mayores o iguales a 1 y menores a 5. Incluyendo el 1 pero no el 5.

Intervalo infinito

Un intervalo infinito es aquel que tiene un valor infinito en uno o ambos extremos. El extremo que posea el infinito será un extremo abierto. En caso de que ambos extremos sean infinitos, será la recta real. Se representa con una expresión del tipo a ≤ x ó x ≤ a, lo que sería [a;∞) ó (-∞;a). Estos además pueden contener intervalos cerrados, como [a; ∞). Por ejemplo, si tenemos el intervalo infinito [1;∞), tendremos un conjunto de números mayores o iguales a 1 en adelante.

Ejemplos de intervalos

Para entender mejor el concepto de intervalos, veamos los siguientes ejemplos, junto con su clasificación y números comprendidos: